ÌâÄ¿ÄÚÈÝ
Èçͼ£¬P1£¨x1£¬y1£©¡¢P2 £¨x2£¬y2£©¡¢¡¡¢Pn£¨xn£¬yn£©£¨0£¼y1£¼y2£¼¡£¼yn£©ÊÇÇúÏßC£ºy2=3x£¨y¡Ý0£©ÉϵÄn¸öµã£¬µãAi£¨ai£¬0£©£¨i=1£¬2£¬3£¬¡£¬n£©ÔÚxÖáµÄÕý°ëÖáÉÏ£¬ ÇÒ¡÷Ai-1AiPiÊÇÕýÈý½ÇÐΣ¨A0ÊÇ×ø±êԵ㣩¡£
£¨1£©Ð´³öa1¡¢a2¡¢a3£»
£¨2£©Çó³öµãAn£¨an£¬0£©£¨n¡ÊN*£©µÄºá×ø±êan¹ØÓÚnµÄ±í´ïʽ£»
£¨3£©Éè
£¬Èô¶ÔÈÎÒâµÄÕýÕûÊýn£¬µ±m¡Ê[-1£¬1]ʱ£¬²»µÈʽt2-2mt+
£¾bnºã³ÉÁ¢£¬ÇóʵÊýtµÄȡֵ·¶Î§¡£
£¨2£©Çó³öµãAn£¨an£¬0£©£¨n¡ÊN*£©µÄºá×ø±êan¹ØÓÚnµÄ±í´ïʽ£»
£¨3£©Éè
½â£º£¨1£©
¡£
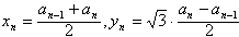
£¨2£©ÒÀÌâÒ⣬µÃ
Óɴ˼°
µÃ
¼´
ÓÉ£¨1£©¿É²ÂÏ룺
ÏÂÃæÓÃÊýѧ¹éÄÉ·¨ÓèÒÔÖ¤Ã÷£º
¢Ùµ±n=1ʱ£¬ÃüÌâÏÔÈ»³ÉÁ¢£»
¢Ú¼Ù¶¨µ±n=kʱÃüÌâ³ÉÁ¢£¬¼´ÓÐ
Ôòµ±n=k+1ʱ£¬ÓɹéÄɼÙÉè¼°

µÃ
¼´
½âÖ®µÃ
²»ºÏÌâÒ⣬ÉáÈ¥£©
¼´µ±n=k+1ʱ£¬ÃüÌâ³ÉÁ¢
ÓÉ¢Ù¡¢¢ÚÖªÃüÌâ³ÉÁ¢£¬¼´
¡£
£¨3£©


Áî
Ôò
ËùÒÔf£¨x£©ÔÚ[1£¬+¡Þ£©ÉÏÊÇÔöº¯Êý£¬
¹Êµ±x=1ʱ£¬f£¨x£©È¡µÃ×îСֵ3£¬
¼´µ±n=1ʱ£¬


¼´
½âÖ®µÃ£¬t>2»òt£¼-2
¹ÊʵÊýtµÄȡֵ·¶Î§Îª£¨-¡Þ£¬-2£©¡È £¨2£¬+¡Þ£©¡£
£¨2£©ÒÀÌâÒ⣬µÃ
Óɴ˼°
µÃ
¼´
ÓÉ£¨1£©¿É²ÂÏ룺
ÏÂÃæÓÃÊýѧ¹éÄÉ·¨ÓèÒÔÖ¤Ã÷£º
¢Ùµ±n=1ʱ£¬ÃüÌâÏÔÈ»³ÉÁ¢£»
¢Ú¼Ù¶¨µ±n=kʱÃüÌâ³ÉÁ¢£¬¼´ÓÐ
Ôòµ±n=k+1ʱ£¬ÓɹéÄɼÙÉè¼°
µÃ
¼´
½âÖ®µÃ
¼´µ±n=k+1ʱ£¬ÃüÌâ³ÉÁ¢
ÓÉ¢Ù¡¢¢ÚÖªÃüÌâ³ÉÁ¢£¬¼´
£¨3£©
Áî
Ôò
ËùÒÔf£¨x£©ÔÚ[1£¬+¡Þ£©ÉÏÊÇÔöº¯Êý£¬
¹Êµ±x=1ʱ£¬f£¨x£©È¡µÃ×îСֵ3£¬
¼´µ±n=1ʱ£¬
¼´
½âÖ®µÃ£¬t>2»òt£¼-2
¹ÊʵÊýtµÄȡֵ·¶Î§Îª£¨-¡Þ£¬-2£©¡È £¨2£¬+¡Þ£©¡£
Á·Ï°²áϵÁдð°¸
Ïà¹ØÌâÄ¿