搜索
题目内容
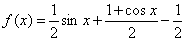
已知函数f(x)=sin
cos
+cos
2
-
。
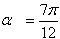
(1)若f(a)=
,a∈(0,π),求a的值。
(2)求函数f(x)在[-
,π]上最大值和最小值。
试题答案
相关练习册答案
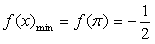
解:(1)
由题意知
即
∵
即
∴
;
(2)∵
即
,
。
练习册系列答案
百校联考中考模拟演练系列答案
一课二读系列答案
中考专辑全真模拟试卷系列答案
全品小升初三级特训系列答案
1加1轻巧夺冠课堂直播系列答案
口算题卡新疆青少年出版社系列答案
芒果教辅小学生毕业系统总复习系列答案
初中毕业班系统总复习系列答案
中考信息猜想卷仿真临考卷系列答案
走进名校小学毕业升学模拟测试卷系列答案
相关题目
已知函数f(x)=ax+bsinx,当
x=
π
3
时,取得极小值
π
3
-
3
.
(1)求a,b的值;
(2)对任意
x
1
,
x
2
∈[-
π
3
,
π
3
]
,不等式f(x
1
)-f(x
2
)≤m恒成立,试求实数m的取值范围;
(3)设直线l:y=g(x),曲线S:y=F(x),若直线l与曲线S同时满足下列两个条件:①直线l与曲线S相切且至少有两个切点;②对任意x∈R都有g(x)≥F(x),则称直线l与曲线S的“上夹线”.观察下图:
根据上图,试推测曲线S:y=mx-nsinx(n>0)的“上夹线”的方程,并作适当的说明.
已知函数f(x)=x
2
-blnx在(1,2]是增函数,g(x)=x-b
x
在(0,1)为减函数.
(1)求b的值;
(2)设函数φ(x)=2ax-
1
x
2
是区间(0,1]上的增函数,且对于(0,1]内的任意两个变量s、t,f(s)≥?(t)恒成立,求实数a的取值范围.
已知函数f(x)=cos( 2x+
π
3
)+sin
2
x.
(Ⅰ)求函数f(x)的最小正周期和值域;
(Ⅱ)在△ABC中,角A、B、C的对边分别为a、b、c,满足2
AC
•
CB
=
2
ab,c=2
2
,f(A)=
1
2
-
3
4
,求△ABC的面积S.
(1)已知矩阵
A=
a
2
1
b
有一个属于特征值1的特征向量
α
=
2
-1
,
①求矩阵A;
②已知矩阵
B=
1
-1
0
1
,点O(0,0),M(2,-1),N(0,2),求△OMN在矩阵AB的对应变换作用下所得到的△O'M'N'的面积.
(2)已知在直角坐标系xOy中,直线l的参数方程为
x=t-3
y=
3
t
(t为参数),在极坐标系(与直角坐标系xOy取相同的长度单位,且以原点O为极点,以x轴正半轴为极轴)中,曲线C的极坐标方程为ρ
2
-4ρco sθ+3=0.
①求直线l普通方程和曲线C的直角坐标方程;
②设点P是曲线C上的一个动点,求它到直线l的距离的取值范围.
(3)已知函数f(x)=|x-1|+|x+1|.
①求不等式f(x)≥3的解集;
②若关于x的不等式f(x)≥a
2
-a在R上恒成立,求实数a的取值范围.
已知函数f(x)=
a
2x
+xlnx
,g(x)=x
3
-x
2
-x-1.
(1)如果存在x,x∈[0,2],使得g(x)-g(x)≥M,求满足该不等式的最大整数M;
(2)如果对任意的s,t∈[
1
3
,2],都有f(s)≥g(t)成立,求实数a的取值范围.
关 闭
试题分类
高中
数学
英语
物理
化学
生物
地理
初中
数学
英语
物理
化学
生物
地理
小学
数学
英语
其他
阅读理解答案
已回答习题
未回答习题
题目汇总
试卷汇总
练习册解析答案