题目内容
已知一条曲线C在y轴右边,C上每一点到点F(1,0)的距离减去它到y轴距离的差都等于1,(1)求曲线C的方程;
(2)若过点M(-1,0)的直线与曲线C有两个交点A,B,且FA⊥FB,求直线l的斜率.
【答案】分析:(1)设出点P的坐标,由题意列出符合条件的关系式,整理后即可得到曲线C的方程;
(2)设出直线l的方程x=ty-1,同时设出两个交点的坐标,把直线方程和抛物线方程联立后化为关于y的一元二次方程,得到根与系数关系,由FA⊥FB,得到它们对应的向量的数量积等于0,代入向量坐标后整理成仅含有两交点纵坐标的和与积的形式,代入根与系数后求解t的值,验证判别式大于0成立,由此可求出直线l的斜率.
解答:解:(1)设p(x,y)是曲线C上任意一点,
因为C上每一点到点F(1,0)的距离减去它到y轴距离的差都等于1,
所以点p(x,y)满足
.
化简得:y2=4x(x>0);
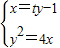
(2)设直线与曲线C的交点为A(x1,y1),B(x2,y2),
设直线l的方程为x=ty-1
由
,得y2-4ty+4=0,
得
①
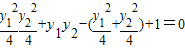
由FA⊥FB,得
又
,
所以
即x1x2-(x1+x2)+1+y1y2=0②
又
,于是(2)等价于
.
③
把①式代入③,整理得4t2=8,
.
满足△=16(t2-1)>0.
∴直线l的斜率为
.
点评:本题考查了与直线有关的轨迹方程,考查了直线与圆锥曲线的关系,此类问题的解决经常用到直线与曲线联立方程后的根与系数关系,该题中对直线l的设法对解答该题有着事半功倍的作用,避免了讨论直线斜率不存在的情况,是中高档题.
(2)设出直线l的方程x=ty-1,同时设出两个交点的坐标,把直线方程和抛物线方程联立后化为关于y的一元二次方程,得到根与系数关系,由FA⊥FB,得到它们对应的向量的数量积等于0,代入向量坐标后整理成仅含有两交点纵坐标的和与积的形式,代入根与系数后求解t的值,验证判别式大于0成立,由此可求出直线l的斜率.
解答:解:(1)设p(x,y)是曲线C上任意一点,
因为C上每一点到点F(1,0)的距离减去它到y轴距离的差都等于1,
所以点p(x,y)满足
化简得:y2=4x(x>0);
(2)设直线与曲线C的交点为A(x1,y1),B(x2,y2),
设直线l的方程为x=ty-1
由
得
由FA⊥FB,得
又
所以
即x1x2-(x1+x2)+1+y1y2=0②
又
把①式代入③,整理得4t2=8,
满足△=16(t2-1)>0.
∴直线l的斜率为
点评:本题考查了与直线有关的轨迹方程,考查了直线与圆锥曲线的关系,此类问题的解决经常用到直线与曲线联立方程后的根与系数关系,该题中对直线l的设法对解答该题有着事半功倍的作用,避免了讨论直线斜率不存在的情况,是中高档题.
练习册系列答案
相关题目