题目内容
已知![]()
为
的导函数,则
的图像( )
![]()
【答案】
A
【解析】
试题分析:
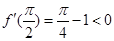
,因为
,所以
为奇函数,排除B,D选项,当
时,
,故选A.
考点:1.函数的导数;2.函数的图像和奇偶性.
练习册系列答案
相关题目
题目内容
已知![]()
为
的导函数,则
的图像( )
![]()
A
【解析】
试题分析:
,因为
,所以
为奇函数,排除B,D选项,当
时,
,故选A.
考点:1.函数的导数;2.函数的图像和奇偶性.