题目内容
已知函数f(x)=x-1-alnx(a∈R),
(1)若曲线y=f(x)在x=1处的切线的方程为3x-y-3=0,求实数a的值;
(2)求证:f(x)≥0恒成立的充要条件是a=1;
(3)若a<0,且对任意x1,x2∈(0,1],都有|f(x1)-f(x2)|≤4
,求实数a的取值范围。
(1)若曲线y=f(x)在x=1处的切线的方程为3x-y-3=0,求实数a的值;
(2)求证:f(x)≥0恒成立的充要条件是a=1;
(3)若a<0,且对任意x1,x2∈(0,1],都有|f(x1)-f(x2)|≤4
解:(1)因为
,所以f′(1)=1-a,
所以曲线y=f(x)在x=1处切线的斜率为1-a,
因为曲线y=f(x)在x=1处的切线为3x-y-3=0,
所以1-a=3,解得a=-2;
(2)①充分性,当a=1时,
,
所以当x>1时,f′(x)>0,所以函数f(x)在(1,+∞)上是增函数;
当0<x<1时,f′(x)<0,所以函数f(x)在(0,1)上是减函数,
所以f(x)≥f(1)=0;
②必要性:
,其中x>0,
(ⅰ)当a≤0时,因为f′(x)>0恒成立,所以函数f(x)在(0,+∞)上是增函数;
而f(1)=0,所以当x∈(0,1)时,f(x)<0,与f(x)≥0恒成立相矛盾,所以a≤0不满足题意;
(ⅱ)当a>0时,因为当x>a时,f′(x)>0,所以函数f(x)在(a,+∞)上是增函数;
当0<x<a时,f′(x)<0,所以函数f(x)在(0,a)上是减函数,
所以f(x)≥f(a)=a-1-alna,
因为f(1)=0,所以当a≠1时,f(a)<f(1)=0,此时与f(x)≥0恒成立相矛盾,
所以a=1;
综上所述f(x)≥0恒成立的充要条件是a=1;
(3)由(2)可知,当a<0时,函数f(x)在(0,1]上是增函数,
又函数
在(0,1]上是减函数,
不妨设
,
则
,
所以
等价于
,
即
,
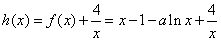
设
,
则
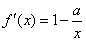
等价于函数h(x)在区间(0,1]上是减函数,
因为
,
所以
在x∈(0,1]上恒成立,
即
在x∈(0,1]上恒成立,即a不小于
在区间(0,1]内的最大值,
而函数
在区间(0,1]上是增函数,
所以
的最大值为-3,
所以a≥-3,
又a<0,所以a∈[-3,0)。
所以曲线y=f(x)在x=1处切线的斜率为1-a,
因为曲线y=f(x)在x=1处的切线为3x-y-3=0,
所以1-a=3,解得a=-2;
(2)①充分性,当a=1时,
所以当x>1时,f′(x)>0,所以函数f(x)在(1,+∞)上是增函数;
当0<x<1时,f′(x)<0,所以函数f(x)在(0,1)上是减函数,
所以f(x)≥f(1)=0;
②必要性:
(ⅰ)当a≤0时,因为f′(x)>0恒成立,所以函数f(x)在(0,+∞)上是增函数;
而f(1)=0,所以当x∈(0,1)时,f(x)<0,与f(x)≥0恒成立相矛盾,所以a≤0不满足题意;
(ⅱ)当a>0时,因为当x>a时,f′(x)>0,所以函数f(x)在(a,+∞)上是增函数;
当0<x<a时,f′(x)<0,所以函数f(x)在(0,a)上是减函数,
所以f(x)≥f(a)=a-1-alna,
因为f(1)=0,所以当a≠1时,f(a)<f(1)=0,此时与f(x)≥0恒成立相矛盾,
所以a=1;
综上所述f(x)≥0恒成立的充要条件是a=1;
(3)由(2)可知,当a<0时,函数f(x)在(0,1]上是增函数,
又函数
不妨设
则
所以
即
设
则
因为
所以
即
而函数
所以
所以a≥-3,
又a<0,所以a∈[-3,0)。
练习册系列答案
相关题目