题目内容
已知:函数f(x)=psinωx•cosωx-cos2ωx(p>0,ω>0)的最大值为(1)求:p,ω的值,f(x)的解析式;
(2)若△ABC的三条边为a,b,c,满足a2=bc,a边所对的角为A.求:角A的取值范围及函数f(A)的值域.
【答案】分析:(1)化简函数为一个角的一个三角函数的形式,通过最大值和周期,求出p和ω,得到函数的解析式.
(2)利用余弦定理和基本不等式,求出cosA的最小值,确定A的范围,然后利用正弦函数的值域,求出函数f(A)的值域.
解答:解:(1)
,
由
,得ω=2(2分)
由
及p>0,得
(4分)∴
(6分)
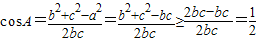
(2)
.(8分)
A为三角形内角,所以
(10分)
∴
,
,∴
(14分)
点评:本题是中档题,考查三角函数的化简求值,解三角形的有关知识,余弦定理的应用,注意解答范围和三角函数的值域的关系,考查计算能力.
(2)利用余弦定理和基本不等式,求出cosA的最小值,确定A的范围,然后利用正弦函数的值域,求出函数f(A)的值域.
解答:解:(1)
由
由
(2)
A为三角形内角,所以
∴
点评:本题是中档题,考查三角函数的化简求值,解三角形的有关知识,余弦定理的应用,注意解答范围和三角函数的值域的关系,考查计算能力.
练习册系列答案
相关题目