题目内容

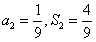
为等比数列的前n项和,且
(Ⅰ)求数列的通项;
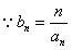
(Ⅱ)设,求数列的前n项和
解:(Ⅰ)设首项为,公比为q,
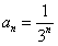
,得

(Ⅱ)

,                            ①
  ,                        ②
②-①得

练习册系列答案
相关题目

 [番茄花园1] 设为等比数列的前n项和,

(A)-11                  (B)-8

(C)5                    (D)11

 


 [番茄花园1]1.

违法和不良信息举报电话:027-86699610 举报邮箱:58377363@163.com

精英家教网