题目内容

,且,则       .

 

【答案】

【解析】

试题分析:这类问题,实际上就是寻找规律,寻找数列有什么特征?是等差数列或等比数列还是周期数列?可以先求前面几个试试看,,……,

,……,可猜测,作为填空题,我们就大胆地填上这个答案吧,当然考虑到数学的严密性(或解答题),我们应该可加以证明.

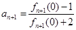
,即数列是公比为的等比数列.

考点:等比数列的定义.

 

练习册系列答案
相关题目

违法和不良信息举报电话:027-86699610 举报邮箱:58377363@163.com

精英家教网