题目内容

已知数列{an}的前n项和为Sn,且
(1)求a1,a2
(2)设bn=log3|an|,求数列{bn}的通项公式.
【答案】分析:(1)利用数列递推式,n取1,2,即可求a1,a2
(2)确定{an}是等比数列,求得数列{an}的通项,从而可数列{bn}的通项公式.
解答:解:(1)由已知4S1=a1+1,即4a1=a1+1,∴a1=,…(3分)
又4S2=a2+1,即4(a1+a2)=a2+1,∴;      …(6分)
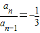
(2)当n>1时,
即3an=-an-1,∴对n≥2恒成立,
∴{an}是首项为,公比为的等比数列,…(10分)

,即bn=-n.           …(13分)
点评:本题考查数列递推式,考查数列的通项,确定数列为等比数列是关键.
练习册系列答案
相关题目

违法和不良信息举报电话:027-86699610 举报邮箱:58377363@163.com

精英家教网