搜索
题目内容
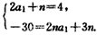
在等差数列{a
n
}中,已知
,求首项a
1
和项数n.
试题答案
相关练习册答案
解:由
,得
,
解得
。
练习册系列答案
本土期末寒假云南人民出版社系列答案
猎豹图书大提速中考限时练系列答案
中考新方向发现中考系列答案
安徽中考总复习综合练习系列答案
寒假生活教育科学出版社系列答案
中考模拟总复习江苏科技出版社系列答案
寒假衔接班寒假提优20天江苏人民出版社系列答案
宏翔文化3年中考2年模拟1年预测系列答案
初中毕业生升学模拟考试系列答案
过好寒假每一天系列答案
相关题目
在等差数列{a
n
}中,a
1
=-2010,其前n项的和为S
n
.若
S
2010
2010
-
S
2008
2008
=2,则S
2010
=( )
A.-2010
B.-2011
C.2010
D.2011
在等差数列{a
n
}中,a
1
+3a
8
+a
15
=60,则2a
9
-a
10
的值为
12
12
.
已知在等差数列{a
n
}中,d>0,a
2008
、a
2009
是方程x
2
-3x-5=0的两个根,那么使得前n项和S
n
为负值的最大的n的值是( )
A.2008
B.2009
C.4015
D.4016
在等差数列{a
n
}中,已知a
1
=2,a
2
+a
3
=13,则a
4
+a
5
+a
6
等于=
42
42
.
在等差数列{a
n
}中,若S
4
=1,S
8
=4,则a
17
+a
18
+a
19
+a
20
的值=
9
9
.
关 闭
试题分类
高中
数学
英语
物理
化学
生物
地理
初中
数学
英语
物理
化学
生物
地理
小学
数学
英语
其他
阅读理解答案
已回答习题
未回答习题
题目汇总
试卷汇总
练习册解析答案