题目内容
已知椭圆
的离心率为
,以原点为圆心,椭圆的短半轴为半径的圆与直线
相切,直线
与椭圆C相交于A、B两点.
(Ⅰ)求椭圆C的方程;
(Ⅱ)求
的取值范围;
【答案】
(Ⅰ)
;(Ⅱ)![]()
【解析】
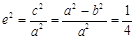
试题分析:1)根据离心率为
,可得
,根据椭圆的短半轴为半径的圆与直线
相切,可求b的值,从而可得椭圆的方程;
(2)由题意知直线AB的斜率存在,设直线PB的方程代入椭圆方程,利用韦达定理,及向量的数量积公式,即可确定
的取值范围.
试题解析:(Ⅰ)由题意知
,∴
,即![]()
又
,∴
故椭圆的方程为
4分
(Ⅱ)解:由
得:
6分
![]()
设A(x1,y1),B (x2,y2),则
8分
∴
10分
∵
∴
, ∴![]()
∴
的取值范围是
.
13分
考点:直线与圆锥曲线的综合问题;平面向量数量积的运算;椭圆的标准方程.
练习册系列答案
相关题目
已知椭圆的离心率为e,两焦点分别为F1、F2,抛物线C以F1为顶点、F2为焦点,点P为抛物线和椭圆的一个交点,若e|PF2|=|PF1|,则e的值为( )
A、
| ||||
B、
| ||||
C、
| ||||
| D、以上均不对 |
已知椭圆的离心率为
,焦点是(-3,0),(3,0),则椭圆方程为( )
| 1 |
| 2 |
A、
| ||||
B、
| ||||
C、
| ||||
D、
|