题目内容
已知椭圆(1)求椭圆C2的方程;
(2)设O为坐标原点,点A,B分别在椭圆C1和C2上,
【答案】分析:(1)求出椭圆
的长轴长,离心率,根据椭圆C2以C1的长轴为短轴,且与C1有相同的离心率,即可确定椭圆C2的方程;
(2)设A,B的坐标分别为(xA,yA),(xB,yB),根据
,可设AB的方程为y=kx,分别与椭圆C1和C2联立,求出A,B的横坐标,利用
,即可求得直线AB的方程.
解答:解:(1)椭圆
的长轴长为4,离心率为
∵椭圆C2以C1的长轴为短轴,且与C1有相同的离心率
∴椭圆C2的焦点在y轴上,2b=4,为
∴b=2,a=4
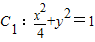
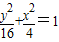
∴椭圆C2的方程为
;
(2)设A,B的坐标分别为(xA,yA),(xB,yB),
∵
∴O,A,B三点共线,且点A,B不在y轴上
∴设AB的方程为y=kx
将y=kx代入
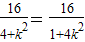
,消元可得(1+4k2)x2=4,∴
将y=kx代入
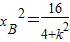
,消元可得(4+k2)x2=16,∴
∵
,∴
=4
,
∴
,解得k=±1,
∴AB的方程为y=±x
点评:本题考查椭圆的标准方程,考查直线与椭圆的位置关系,解题的关键是掌握椭圆几何量关系,联立方程组求解.
(2)设A,B的坐标分别为(xA,yA),(xB,yB),根据
解答:解:(1)椭圆
∵椭圆C2以C1的长轴为短轴,且与C1有相同的离心率
∴椭圆C2的焦点在y轴上,2b=4,为
∴b=2,a=4
∴椭圆C2的方程为
(2)设A,B的坐标分别为(xA,yA),(xB,yB),
∵
∴O,A,B三点共线,且点A,B不在y轴上
∴设AB的方程为y=kx
将y=kx代入
将y=kx代入
∵
∴
∴AB的方程为y=±x
点评:本题考查椭圆的标准方程,考查直线与椭圆的位置关系,解题的关键是掌握椭圆几何量关系,联立方程组求解.
练习册系列答案
相关题目