题目内容

已知函数>0,>0,的图像与轴的交点为(0,1),它在轴右侧的第一个最高点和第一个最低点的坐标分别为

(1)求的解析式及的值;

(2)若锐角满足,求的值.

 

【答案】

(1); (2)

【解析】

试题分析:(1)先由图象可确定周期和振幅,从而得再通过代入一个已知点可求从而有,又由可得

(2)先由已知条件求得故由(1)中的解析式可得:.

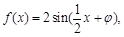
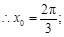
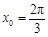
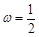
试题解析:(1)由题意可得         3分

,

                           5分

所以

  是最小的正数,                    6分

(2)

                10分

.        12分

考点:1.三角函数解析式的求法;2.三角函数图象;3.三角恒等变换

 

练习册系列答案
相关题目

违法和不良信息举报电话:027-86699610 举报邮箱:58377363@163.com

精英家教网