题目内容
等比数列{an}中,a3=7,前3项之和S3=21,则数列{an}的公比为( )A.1
B.
C.1或
D.-1或
【答案】分析:将a3=7,S3=21,建立关于a1,q的方程组求解.
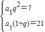
解答:解:由a3=7,S3=21得:
得q=-0.5或1
故选C.
点评:本题主要考查等比数列的通项公式和前n项和公式,做题时要认真确保确保运算正确,属于基础题.
解答:解:由a3=7,S3=21得:
得q=-0.5或1
故选C.
点评:本题主要考查等比数列的通项公式和前n项和公式,做题时要认真确保确保运算正确,属于基础题.
练习册系列答案
相关题目