ÌâÄ¿ÄÚÈÝ
ij¹«Ô°×¼±¸½¨Ò»¸öĦÌìÂÖ£¬Ä¦ÌìÂÖµÄÍâΧÊÇÒ»¸öÖܳ¤ÎªkÃ×µÄÔ²£¬ÔÚÕâ¸öÔ²Éϰ²×°×ù룬ÇÒÿ¸ö×ùλºÍÔ²ÐÄ´¦µÄÖ§µã¶¼ÓÐÒ»¸ùÖ±µÄ¸Ö¹ÜÏàÁ¬£®¾Ô¤Ë㣬ĦÌìÂÖÉϵÄÿ¸ö×ùλÓëÖ§µãÏàÁ¬µÄ¸Ö¹ÜµÄ·ÑÓÃΪ8kÔª/¸ù£¬ÇÒµ±Á½ÏàÁÚµÄ×ùλ֮¼äµÄÔ²»¡³¤ÎªxÃ×ʱ£¬ÏàÁÚÁ½×ùλ֮¼äµÄ¸Ö¹ÜºÍÆäÖÐÒ»¸ö×ùλµÄ×Ü·ÑÓÃΪ
Ôª¡£¼ÙÉè×ùλµÈ¾àÀë·Ö²¼£¬ÇÒÖÁÉÙÓÐÁ½¸ö×ù룬ËùÓÐ×ùλ¶¼ÊÓΪµã£¬ÇÒ²»¿¼ÂÇÆäËûÒòËØ£¬¼ÇĦÌìÂÖµÄ×ÜÔì¼ÛΪyÔª¡£
£¨1£©ÊÔд³öy¹ØÓÚxµÄº¯Êý¹ØÏµÊ½£¬²¢Ð´³ö¶¨ÒåÓò£»
£¨2£©µ±k=100Ã×ʱ£¬ÊÔÈ·¶¨×ùλµÄ¸öÊý£¬Ê¹µÃ×ÜÔì¼Û×îµÍ£¿
£¨1£©ÊÔд³öy¹ØÓÚxµÄº¯Êý¹ØÏµÊ½£¬²¢Ð´³ö¶¨ÒåÓò£»
£¨2£©µ±k=100Ã×ʱ£¬ÊÔÈ·¶¨×ùλµÄ¸öÊý£¬Ê¹µÃ×ÜÔì¼Û×îµÍ£¿
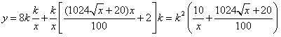
½â£º£¨1£©ÉèĦÌìÂÖÉÏ×ܹ²ÓÐn¸ö×ù룬Ôò
£¬¼´
£¬
¡à
£¬
¶¨ÒåÓòΪ
£»
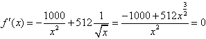
£¨2£©µ±k=100ʱ£¬
£¬
Áî
£¬
Ôò
£¬
¡à
£¬
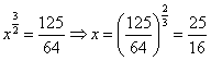
µ±
ʱ£¬
£¬¼´f£¨x£©ÔÚ
Éϵ¥µ÷¼õ£»
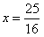
µ±
ʱ£¬
£¬¼´f£¨x£©ÔÚ
Éϵ¥µ÷Ôö£¬
ÔÚ
ʱȡµ½£¬´Ëʱ×ùλ¸öÊýΪ
¸ö¡£
¡à
¶¨ÒåÓòΪ
£¨2£©µ±k=100ʱ£¬
Áî
Ôò
¡à
µ±
µ±
Á·Ï°²áϵÁдð°¸
Ïà¹ØÌâÄ¿