题目内容
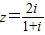
已知复数A.2i
B.-2i
C.-2-2i
D.-2+2i
【答案】分析:利用复数的除法运算化简复数z,然后进行平方运算.
解答:解:由
=
.
所以z2=(1+i)2=1+2i+i2=2i.
故选A.
点评:本题考查了复数代数形式的乘除运算,复数的除法,采用分子分母同时乘以分母的共轭复数,是基础题.
解答:解:由
所以z2=(1+i)2=1+2i+i2=2i.
故选A.
点评:本题考查了复数代数形式的乘除运算,复数的除法,采用分子分母同时乘以分母的共轭复数,是基础题.
练习册系列答案
相关题目