题目内容
已知椭圆(1)求椭圆C的方程;
(2)若直线y=x+m与椭圆C交于不同的两点A,B,且线段AB的中点M在圆x2+y2=1上,求m的值.
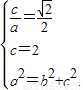
【答案】分析:(1)由题意,得
由此能够得到椭圆C的方程.
(2)设点A、B的坐标分别为(x1,y1),(x2,y2),线段AB的中点为M(x,y),由
消y得,3x2+4mx+2m2-8=0,再由根的判断式结合题设条件能够得到m的值.
解答:解:(1)由题意,得
解得
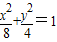
∴椭圆C的方程为
.
(2)设点A、B的坐标分别为(x1,y1),(x2,y2),线段AB的中点为M(x,y),
由
消y得,3x2+4mx+2m2-8=0,
△=96-8m2>0,∴-2
<m<2
.
∴
=-
,
.
∵点M(x,y)在圆x2+y2=1上,∴
,∴
.
点评:本题考查椭圆方程的求法和直线与椭圆位置关系的综合运用,解题时要认真审题,注意挖掘题设中的隐含条件.
(2)设点A、B的坐标分别为(x1,y1),(x2,y2),线段AB的中点为M(x,y),由
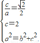
解答:解:(1)由题意,得
解得
(2)设点A、B的坐标分别为(x1,y1),(x2,y2),线段AB的中点为M(x,y),
由
△=96-8m2>0,∴-2
∴
∵点M(x,y)在圆x2+y2=1上,∴
点评:本题考查椭圆方程的求法和直线与椭圆位置关系的综合运用,解题时要认真审题,注意挖掘题设中的隐含条件.
练习册系列答案
相关题目
已知椭圆的离心率为e,两焦点分别为F1、F2,抛物线C以F1为顶点、F2为焦点,点P为抛物线和椭圆的一个交点,若e|PF2|=|PF1|,则e的值为( )
A、
| ||||
B、
| ||||
C、
| ||||
| D、以上均不对 |
已知椭圆的离心率为
,焦点是(-3,0),(3,0),则椭圆方程为( )
| 1 |
| 2 |
A、
| ||||
B、
| ||||
C、
| ||||
D、
|