搜索
题目内容
已知
,若
,则
等于_______•
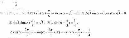
试题答案
相关练习册答案
练习册系列答案
世纪金榜高中全程学习方略系列答案
黄冈经典趣味课堂系列答案
启东小题作业本系列答案
练习与测试系列答案
核心期末系列答案
一本好卷单元专题期末系列答案
第一作业系列答案
红对勾课课通大考卷系列答案
第一线导学卷课时导学案系列答案
高中全程学习导与练系列答案
相关题目
已知
,若
,则
等于( )
A.
B.
C.
D.
已知函数
若
,则
等于
.
已知函数
若
,则
等于
.
已知
,若
,则
等于( )
A.
B.
C.
D.4
已知
,若
,则
等于( )
A.
B.
C.
D.4
关 闭
试题分类
高中
数学
英语
物理
化学
生物
地理
初中
数学
英语
物理
化学
生物
地理
小学
数学
英语
其他
阅读理解答案
已回答习题
未回答习题
题目汇总
试卷汇总
练习册解析答案