题目内容
已知数列{an}的前n项和Sn=2an-3•2n+4,n=1,2,3,….(Ⅰ)求数列{an}的通项公式;
(Ⅱ)设Tn为数列{Sn-4}的前n项和,求Tn.
【答案】分析:(Ⅰ)令n=1得a1=s1=2a1-2即a1=2,然后当n≥2时根据sn-sn-1得到an变形为
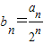
,设
,则数列{bn}是首项b1=1、公差为
的等差数列,表示出bn通项即可求出an;
(Ⅱ)先求出sn-4的通项公式,利用数列求和的方法求出Tn即可.
解答:解:(Ⅰ)∵a1=S1=2a1-2,∴a1=2.
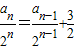
当n≥2时,an=Sn-Sn-1,an=2an-1+3×2n-1,于是
;方法
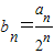
令
,则数列{bn}是首项b1=1、公差为
的等差数列,
;
∴an=2nbn=2n-1(3n-1).
(Ⅱ)∵Sn-4=2n(3n-4)=3×2n×n-2n+2,
∴Tn=3(2×1+22×2++2n×n)-4(2+22++2n),
记Wn=2×1+22×2++2n×n①,则2Wn=22×1+23×2++2n+1×n②,
①-②有-Wn=2×1+22++2n-2n+1×n=2n+1(1-n)-2,
∴Wn=2n+1(n-1)+2.
故
点评:考查学生理解掌握等差数列的通项公式的能力,以及会应用数列求和的方法.
(Ⅱ)先求出sn-4的通项公式,利用数列求和的方法求出Tn即可.
解答:解:(Ⅰ)∵a1=S1=2a1-2,∴a1=2.
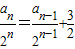
当n≥2时,an=Sn-Sn-1,an=2an-1+3×2n-1,于是
令
∴an=2nbn=2n-1(3n-1).
(Ⅱ)∵Sn-4=2n(3n-4)=3×2n×n-2n+2,
∴Tn=3(2×1+22×2++2n×n)-4(2+22++2n),
记Wn=2×1+22×2++2n×n①,则2Wn=22×1+23×2++2n+1×n②,
①-②有-Wn=2×1+22++2n-2n+1×n=2n+1(1-n)-2,
∴Wn=2n+1(n-1)+2.
故
点评:考查学生理解掌握等差数列的通项公式的能力,以及会应用数列求和的方法.
练习册系列答案
相关题目
已知数列{an}的前n项和Sn=an2+bn(a、b∈R),且S25=100,则a12+a14等于( )
| A、16 | B、8 | C、4 | D、不确定 |