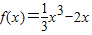
题目内容
已知函数(Ⅰ)若f′(0)=-2,求函数f(x)的极值;
(Ⅱ)若函数f(x)在(1,2)上单调递增,求a的取值范围.
【答案】分析:(Ⅰ)先对函数f(x)求导,再令x=0,即可求出a的值;
(Ⅱ)函数f(x)在(1,2)上单调递增?f′(x)≥0在x∈(1,2)上恒成立?
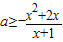
在区间(1,2)上恒成立?a≥
,x∈(1,2),解出即可.
解答:解:(Ⅰ)∵
,∴f′(x)=x2+(a+2)x+a.
∵f′(0)=-2,∴a=-2.
∴
,f′(x)=x2-2.
令f′(x)=0,解得
.
列表如下:
由表格可以看出:当
时,f(x)极大值=
=
;
当x=
时,f(x)极小值=
=
.
(Ⅱ)∵函数f(x)在(1,2)上单调递增,
∴f′(x)=x2+(a+2)x+a≥0在区间(1,2)上恒成立.
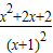
亦即
在区间(1,2)上恒成立.
令g(x)=-
,则g′(x)=-
=-
<0,
∴函数g(x)在x∈(1,2)上为减函数,而函数g(x)在x=1时连续,
∴g(x)<g(1)=-
.
故a
.
点评:利用导数求函数的单调区间、极值、恒成立问题是最有效的方法之一,必须熟练掌握.
(Ⅱ)函数f(x)在(1,2)上单调递增?f′(x)≥0在x∈(1,2)上恒成立?
解答:解:(Ⅰ)∵
∵f′(0)=-2,∴a=-2.
∴
令f′(x)=0,解得
列表如下:
由表格可以看出:当
当x=
(Ⅱ)∵函数f(x)在(1,2)上单调递增,
∴f′(x)=x2+(a+2)x+a≥0在区间(1,2)上恒成立.
亦即
令g(x)=-
∴函数g(x)在x∈(1,2)上为减函数,而函数g(x)在x=1时连续,
∴g(x)<g(1)=-
故a
点评:利用导数求函数的单调区间、极值、恒成立问题是最有效的方法之一,必须熟练掌握.
练习册系列答案
相关题目