题目内容
方程A.k<1
B.k>2
C.k<1或k>2
D.1<k<2
【答案】分析:根据题意,轨迹双曲线的标准方程可得(2-k)(k-1)<0,求出范围即可得到答案.
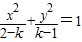
解答:解:由题意可得:方程
的图象是双曲线,
所以(2-k)(k-1)<0,
解得:k<1或k>2,
故选C.
点评:解决此类问题的关键是熟练掌握双曲线的标准方程,并且结合解不等式的方法解决问题即可.
解答:解:由题意可得:方程
所以(2-k)(k-1)<0,
解得:k<1或k>2,
故选C.
点评:解决此类问题的关键是熟练掌握双曲线的标准方程,并且结合解不等式的方法解决问题即可.
练习册系列答案
相关题目