题目内容
某连锁分店销售某种商品,每件商品的成本为
元,并且每件商品需向总店交
元的管理费,预计当每件商品的售价为
元时,一年的销售量为
万件.
(Ⅰ)求该连锁分店一年的利润
(万元)与每件商品的售价
的函数关系式
;
(Ⅱ)当每件商品的售价为多少元时,该连锁分店一年的利润
最大,并求出
的最大值.
【答案】
(Ⅰ)
;(Ⅱ)
.
【解析】
试题分析:(Ⅰ)由题得该连锁分店一年的利润
(万元)与售价
的函数关系式为
. (Ⅱ)要求
的最大值,需要利用导数求解,![]()
令
,得
或
,此函数中有参数
,则需要对
进行讨论,
.①当
,即
时,
时,
,
在
上单调递减,故
;
②当
,即
时,
时,
;
时,![]()
在
上单调递增;在
上单调递减,故
,最后需要答.
试题解析:(Ⅰ)由题得该连锁分店一年的利润
(万元)与售价
的函数关系式为
.
(Ⅱ)![]()
令
,得
或![]()
.
①当
,即
时,
时,
,
在
上单调递减,
故![]()
②当
,即
时,
时,
;
时,![]()
在
上单调递增;在
上单调递减,
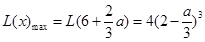
故![]()
答:当
每件商品的售价为7元时,该连锁分店一年的利润
最大,最大值为
万元;
当
每件商品的售价为
元时,该连锁分店一年的利润
最大,最大值为
万元.
考点:1.根据题意列函数表达式;2.利用导数求函数最值.
练习册系列答案
相关题目