题目内容
已知圆C:x2+y2-2x+4y-4=0;(1)若直线l过P(-2,2)且与圆C相切,求直线l的方程.
(2)是否存在斜率为1直线l′,使直线l′被圆C截得弦AB,以AB为直径的圆经过原点O.若存在,求出直线l′的方程;若不存在,说明理由.
【答案】分析:(1)假设切线方程,利用直线与圆相切,由圆心到直线的距离等于半径解出k值,从而得到直线l的方程;
(2)假设所求直线存在,将条件以AB为直径的圆经过原点O,转化为OA⊥OB.通过联立方程可求.
解答:解:(1)圆C可化为:(x-1)2+(y+2)2=9⇒圆心:C(1,-2);半径:r=3
①当l斜率不存在时:l:x=-2,满足题意(2分)
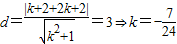
②当l斜率存在时,设斜率为k,则:l:y-2=k(x+2)⇒kx-y+2k+2=0
则:
故:l:7x+24y-34=0(3分)
综上之:直线l的方程:x=-2或7x+24y-34=0(1分)
(2)设直线l的方程为y=x+b,代入圆的方程x2+(x+b)2-2x+4(x+b)-4=0.即2x2+(2b+2)x+b2+4b-4=0.(*)以AB为直径的圆过原点O,则OA⊥OB.
设A(x1,y1),B(x2,y2),则x1x2+y1y2=0,即x1x2+(x1+b)(x2+b)=0.
∴2x1x2+b(x1+x2)+b2=0.
由(*)式得x1+x2=-b-1,x1x2=
∴b2+4b-4+b•(-b-1)+b2=0.
即b2+3b-4=0,∴b=-4或b=1.
将b=-4或b=1代入*方程,对应的△>0.
故存在直线l:x-y-4=0或x-y+1=0.
点评:本题考查用待定系数法求圆的方程以及直线方程的方法,体现了分类讨论的数学思想.本题隐藏着OA⊥OB.OA这一条件,由OA⊥OB.OA得到 x1x2+y1y2=0,是本题的“题眼”所在,由此根据这一重要信息点,采用“设而不求”法为解题带来了快捷效应.除此之外,还应对求出的 值进行必要的检验,这是因为在求解过程中并没有确保有交点A、B存在.
(2)假设所求直线存在,将条件以AB为直径的圆经过原点O,转化为OA⊥OB.通过联立方程可求.
解答:解:(1)圆C可化为:(x-1)2+(y+2)2=9⇒圆心:C(1,-2);半径:r=3
①当l斜率不存在时:l:x=-2,满足题意(2分)
②当l斜率存在时,设斜率为k,则:l:y-2=k(x+2)⇒kx-y+2k+2=0
则:
故:l:7x+24y-34=0(3分)
综上之:直线l的方程:x=-2或7x+24y-34=0(1分)
(2)设直线l的方程为y=x+b,代入圆的方程x2+(x+b)2-2x+4(x+b)-4=0.即2x2+(2b+2)x+b2+4b-4=0.(*)以AB为直径的圆过原点O,则OA⊥OB.
设A(x1,y1),B(x2,y2),则x1x2+y1y2=0,即x1x2+(x1+b)(x2+b)=0.
∴2x1x2+b(x1+x2)+b2=0.
由(*)式得x1+x2=-b-1,x1x2=
∴b2+4b-4+b•(-b-1)+b2=0.
即b2+3b-4=0,∴b=-4或b=1.
将b=-4或b=1代入*方程,对应的△>0.
故存在直线l:x-y-4=0或x-y+1=0.
点评:本题考查用待定系数法求圆的方程以及直线方程的方法,体现了分类讨论的数学思想.本题隐藏着OA⊥OB.OA这一条件,由OA⊥OB.OA得到 x1x2+y1y2=0,是本题的“题眼”所在,由此根据这一重要信息点,采用“设而不求”法为解题带来了快捷效应.除此之外,还应对求出的 值进行必要的检验,这是因为在求解过程中并没有确保有交点A、B存在.
练习册系列答案
相关题目