题目内容
【答案】分析:将根式化为分数指数幂的形式,然后利用幂的运算法则及对数的运算法则进行化简即可.
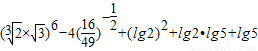
解答:解:
=
=4×27-7+lg2+lg5
=102
故答案为102
点评:在对对数式及根式进行化简、求值时,应该先将根式化为分数指数幂的形式,然后利用幂的运算法则及对数的运算法则进行计算.
解答:解:
=
=4×27-7+lg2+lg5
=102
故答案为102
点评:在对对数式及根式进行化简、求值时,应该先将根式化为分数指数幂的形式,然后利用幂的运算法则及对数的运算法则进行计算.
练习册系列答案
相关题目