题目内容
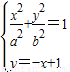
已知直线y=-x+1与椭圆(1)若椭圆的离心率为
(2)若OA⊥OB(其中O为坐标原点),当椭圆的离心率e=
【答案】分析:(1)利用椭圆的离心率公式求出椭圆中的参数a,利用椭圆中三个参数的关系求出b,代入椭圆的方程求出椭圆的标准方程.
(2)将直线的方程与椭圆的方程联立,利用韦达定理求出两个交点的横、纵坐标之积;利用向量垂直的充要条件,得到椭圆的三个参数的一个等式,再利用椭圆的三个参数本身的关系得到参数a与离心率的关系,利用离心率得到椭圆的长轴长.
解答:解:(1)∵e=
,即
=
.又2c=2,解得a=
,
则b=
=
.
(2)由
消去y得(a2+b2)•x2-2a2x+a2•(1-b2)=0,
由△=(-2a2)2-4a2(a2+b2)(1-b2)>0,整理得a2+b2>1.
设A(x1,y1,),B(x2,y2),
则x1+x2=
,x1x2=
.
∴y1y2=(-x1+1)(-x2+1)=x1x2-(x1+x2)+1.
∵OA⊥OB(其中O为坐标原点),
∴x1x2+y1y2=0,即2x1x2-(x1+x2)+1=0.
∴
-
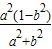
+1=0.整理得a2+b2-2a2b2=0.
∵b2=a2-c2=a2-a2e2,代入上式得
2a2=1+
,
∴a2=
(1+
).
∵e=
,∴
(1+
)=
,
∴a=
,
由此得 椭圆长轴的长
.
点评:求圆锥曲线的方程,一般利用待定系数法;解决直线与圆锥曲线的位置关系问题,一般设出直线方程,将直线方程与圆锥曲线方程联立,消去一个未知数,得到关于一个未知数的二次方程,利用韦达定理,找突破口.
(2)将直线的方程与椭圆的方程联立,利用韦达定理求出两个交点的横、纵坐标之积;利用向量垂直的充要条件,得到椭圆的三个参数的一个等式,再利用椭圆的三个参数本身的关系得到参数a与离心率的关系,利用离心率得到椭圆的长轴长.
解答:解:(1)∵e=
则b=
(2)由
由△=(-2a2)2-4a2(a2+b2)(1-b2)>0,整理得a2+b2>1.
设A(x1,y1,),B(x2,y2),
则x1+x2=
∴y1y2=(-x1+1)(-x2+1)=x1x2-(x1+x2)+1.
∵OA⊥OB(其中O为坐标原点),
∴x1x2+y1y2=0,即2x1x2-(x1+x2)+1=0.
∴
∵b2=a2-c2=a2-a2e2,代入上式得
2a2=1+
∴a2=
∵e=
∴a=
由此得 椭圆长轴的长
点评:求圆锥曲线的方程,一般利用待定系数法;解决直线与圆锥曲线的位置关系问题,一般设出直线方程,将直线方程与圆锥曲线方程联立,消去一个未知数,得到关于一个未知数的二次方程,利用韦达定理,找突破口.
练习册系列答案
相关题目