题目内容
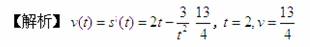
已知物体的运动方程为
(t是时间,s是位移),则物体在时刻t=2时的速度为____
答案
![]()
练习册系列答案
相关题目
已知物体的运动方程为s=t2+
(t是时间,s是位移),则物体在时刻t=2时的速度为( )
| 3 |
| t |
A、
| ||
B、
| ||
C、
| ||
D、
|
已知物体的运动方程为s=-
t2+8t(t是时间,s是位移),则物体在时刻t=2时的速度为( )
| 1 |
| 2 |
| A、1 | B、2 | C、6 | D、8 |