题目内容
已知△ABC中,(1)设
(2)若对任意的实数t,恒有
【答案】分析:(1)利用数量积公式求得f(x)=
,再由 f(A)=0求得
,故有
.
(2)由
可得BC⊥AC,再由
,求得BC≤
,由此根据△ABC面积
求得它的最大值.
解答:解:(1)∵
=
=
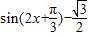
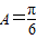
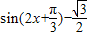
∵f(A)=0=
,且
,∴
.(7分)
(2)∵
,故点B到直线AC的最短距离为BC,∴BC⊥AC.
∵
,∴由勾股定理可得 BC=
≤
=
,
故△ABC面积
,
故△ABC面积的最大值为
.(14分)
点评:本题主要考查两个向量的数量积的定义,数量积公式的应用,两个向量垂直的性质,属于中档题.
(2)由
解答:解:(1)∵
∵f(A)=0=
(2)∵
∵
故△ABC面积
故△ABC面积的最大值为
点评:本题主要考查两个向量的数量积的定义,数量积公式的应用,两个向量垂直的性质,属于中档题.
练习册系列答案
相关题目