题目内容
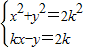
已知关于x,y的方程组
【答案】分析:直接解方程组,利用判别式等于0,求出k的值,验证方程组是否只有一组实数解.
解答:解:方程组
消去y后,可得(1+k2)x2-4k2x+2k2=0,
因为方程组
仅有一组实数解,
所以△=(4k2)2-4(1+k2)2k2=0,
解得k=±1,
又k=0时,方程组只有一个解.
综上,符合条件的实数k的个数是:3个.
故答案为:3.
点评:本小题主要考查直线与圆的位置关系的判断,本题出现最多的问题应该是计算上的问题,平时要强化基本功的练习.
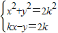
解答:解:方程组
因为方程组
所以△=(4k2)2-4(1+k2)2k2=0,
解得k=±1,
又k=0时,方程组只有一个解.
综上,符合条件的实数k的个数是:3个.
故答案为:3.
点评:本小题主要考查直线与圆的位置关系的判断,本题出现最多的问题应该是计算上的问题,平时要强化基本功的练习.
练习册系列答案
相关题目