题目内容
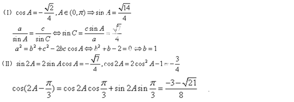
在中,内角所对的分别是,已知;
(I)求和的值; (II)求的值.
(12分)在中,内角所对的边分别为,已知。
(1)求的长及的大小;
(2)若,求函数的值域。
在中,内角所对的边分别为,已知,,为使此三角形只有一个,则满足的条件是( )
A. B.
C.或 D.或
在中,内角所对的边分别为,,则( )
A. B. C. D.
已知在中,内角所对的边分别为,且成等差数列.
(1)若,求的取值范围;
(2)若也成等差数列,求的大小.
已知:在中,内角所对的边分别为,且,则的形状为( )
(A)等腰三角形 (B)等边三角形(C)等腰直角三角形 (D)等腰或直角三角形