题目内容
已知函数f(x)=ax3+bx2+2x在x=-1及x=2处取得极值.(1)求a,b的值;
(2)若关于x的方程f(x)+x3-2x2-x+t=0在区间
【答案】分析:(1)根据函数f(x)在x=-1,x=2处取得极值的必要条件是
,再分别验证f′(x)在x=-1、x=2的附近异号即可.
(2)方程
在区间
上恰有两个不相等的实数根?方程
在区间
上恰有两个不相等的实根,
再令g(x)=
,
,通过对函数g(x)求导,得出其单调区间,并求出在区间
上的值域,进而即可得出答案.
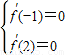
解答:解:(1)∵f′(x)=3ax2+2bx+2,又∵f(x)在x=-1,x=2处取得极值,
∴
即
,经验证a、b的值满足题意;
(2)方程
在区间
上恰有两个不相等的实数根,即方程
在区间
上恰有两个不相等的实根,
令g(x)=
,
,则g′(x)=2x2-3x+1,
令g′(x)=0解得
或x=1;当x变化时,g′(x),g(x)的变化列表如下:
要使g(x)=-t在
上有两个不相等实根,则应满足
,
即t的取值范围为
.
点评:把问题正确转化和熟练应用导数得出函数的单调性是解决问题的关键.
(2)方程
再令g(x)=
解答:解:(1)∵f′(x)=3ax2+2bx+2,又∵f(x)在x=-1,x=2处取得极值,
∴
(2)方程
令g(x)=
令g′(x)=0解得
| x | 1 | (1,2) | 2 | ||
| g′(x) | - | + | |||
| g(x) | ↓ | 极小值 | ↑ |
即t的取值范围为
点评:把问题正确转化和熟练应用导数得出函数的单调性是解决问题的关键.
练习册系列答案
相关题目