题目内容

一个几何体的三视图如图所示(单位长度:),俯视图中圆与四边形相切,且该几何体的体积为,则该几何体的高                .

 

 

【答案】

【解析】

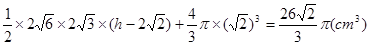
试题分析:由如图所示的几何体的三视图知:这个几何体是一个半径为的球和一个直四棱柱的结合体,且这个直四棱柱的底面是对角线分别为的棱形,这个直四棱柱的高为,∴这个几何体的体积:V=

解得h=.

考点:1.三视图;2.几何体的面积和体积

 

练习册系列答案
相关题目

违法和不良信息举报电话:027-86699610 举报邮箱:58377363@163.com

精英家教网