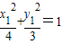
题目内容
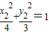
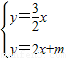
已知椭圆(1)是否有这样的实数值m,使得此椭圆上存在两点关于直线y=2x+m对称?如果存在,求出m的值或取值范围;如果没有,试说明理由.
(2)若直线为y=kx+m,能使得此椭圆上存在两点关于直线y=kx+m对称的m的值的集合为M,要使M⊆(
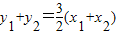
【答案】分析:(1)假设有这样的实数m满足条件,设直线y=2x+m与椭圆交于A(x1,y1),B(x2,y2),则有
,即
.①把点A、B坐标代入椭圆方程并相减可得
.②由①②得
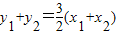
.设AB的中点为M(x,y),则有
,用m表示出x,y,根据点M在椭圆内部可得关于m的不等式,解出即可作出判断;
(2)由(1)可求得m的取值集合M,根据M⊆(
,
),可得关于m的不等式解出即可;
解答:解:(1)假设有这样的实数m满足条件,设直线y=2x+m与椭圆交于A(x1,y1),B(x2,y2),
则有
,即
.①
又A(x1,y1),B(x2,y2)两点在椭圆上,∴
,
.
两式相减并化简得
+4
=0.②
由①②得
.
设AB的中点为M(x,y),则有
,解之得
.
但M(x,y)在椭圆内部,∴
,解得
.
∴存在实数
使得椭圆上存在两点关于直线y=2x+m对称.
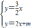
(2)由(1)知
,即
.①,
.②
由①②得
.可解得
,
由
,即
.
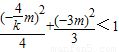
∴
,
要使
,必有
,解得
.
k的取值范围为
.
点评:本题考查直线与椭圆的位置关系问题、对称问题,存在性问题往往先假设存在,然后根据条件去解,有解则存在,否则不存在;解决本题的关键是充分利用对称条件.
(2)由(1)可求得m的取值集合M,根据M⊆(
解答:解:(1)假设有这样的实数m满足条件,设直线y=2x+m与椭圆交于A(x1,y1),B(x2,y2),
则有
又A(x1,y1),B(x2,y2)两点在椭圆上,∴
两式相减并化简得
由①②得
设AB的中点为M(x,y),则有
但M(x,y)在椭圆内部,∴
∴存在实数
(2)由(1)知
由①②得
由
∴
要使
k的取值范围为
点评:本题考查直线与椭圆的位置关系问题、对称问题,存在性问题往往先假设存在,然后根据条件去解,有解则存在,否则不存在;解决本题的关键是充分利用对称条件.
练习册系列答案
相关题目