题目内容
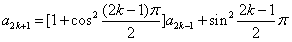
数列{an}满足a1=1,a2=2,an+2=(1+cos2
)an+sin2
,n=1,2,3,…。
(1)求a3,a4并求数列{an}的通项公式;
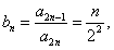
(2)设
,Sn=b1+b2+…+bn,证明:当n≥6时,|Sn-2|<
。
解:(1)因为
所以

一般地当
时,
=
即
所以数列
是首项为1、公差为1的等差数列,因此
当
时,
所以数列是首项为2、公比为2的等比数列,因此
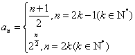
故数列
的通项公式为
;
(2)由(1)知
①
②
①-②得,

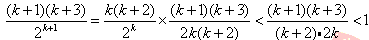
所以
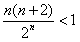
要证明当
时,
成立,只需证明当
时,
成立
①当n=6时,
成立
②假设当
时不等式成立,即
则当n=k+1时,
由①②所述,当n≥6时,
即当n≥6时,
。
所以
一般地当
即
所以数列
当
所以数列是首项为2、公比为2的等比数列,因此
故数列
(2)由(1)知
①-②得,
所以
要证明当
①当n=6时,
②假设当
则当n=k+1时,
由①②所述,当n≥6时,
即当n≥6时,
练习册系列答案
相关题目