题目内容
已知数列{an}满足a1=1,an+1=2an+1(n∈N*).(I)求数列{an}的通项公式;
(II)若数列{bn}滿足
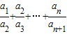
(Ⅲ)证明:
【答案】分析:(I)整理题设递推式得an+1+1=2(an+1),推断出{an+1}是等差数列,进而求得an+1,则an可求.
(II)根据题设等式可推断出2[(b1+b2+…+bn)-n]=nbn和2[(b1+b2+…+bn+bn+1)-(n+1)]=(n+1)bn+1.两式相减后整理求得bn+2-bn+1=bn+1-bn进而推断出{bn}是等差数列.
(III)利用(1)中数列{an}的通项公式,利用不等式的传递性,推断出
进而推断出
;同时利用不等式的性质推断出
,进而代入
证明原式.
解答:解:(I)∵an+1=2an+1(n∈N*),
∴an+1+1=2(an+1),
∴{an+1}是以a1+1=2为首项,2为公比的等比数列.
∴an+1=2n.
即an=2n-1∈N*).
(II)证明:∵
∴
.
∴2[(b1+b2+…+bn)-n]=nbn,①
2[(b1+b2+…+bn+bn+1)-(n+1)]=(n+1)bn+1.②
②-①,得2(bn+1-1)=(n+1)bn+1-nbn,
即(n-1)bn+1-nbn+2=0,nbn+2-(n+1)bn+1+2=0.
③-④,得nbn+2-2nbn+1+nbn=0,
即bn+2-2bn+1+bn=0,
∴bn+2-bn+1=bn+1-bn(n∈N*),
∴{bn}是等差数列.
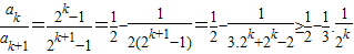
(III)证明:∵
,k=1,2,,n,
∴
.
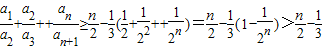
∵
,k=1,2,,n,
∴
,
∴
.
点评:本小题主要考查数列、不等式等基本知识,考查化归的数学思想方法,考查综合解题能力.
(II)根据题设等式可推断出2[(b1+b2+…+bn)-n]=nbn和2[(b1+b2+…+bn+bn+1)-(n+1)]=(n+1)bn+1.两式相减后整理求得bn+2-bn+1=bn+1-bn进而推断出{bn}是等差数列.
(III)利用(1)中数列{an}的通项公式,利用不等式的传递性,推断出
解答:解:(I)∵an+1=2an+1(n∈N*),
∴an+1+1=2(an+1),
∴{an+1}是以a1+1=2为首项,2为公比的等比数列.
∴an+1=2n.
即an=2n-1∈N*).
(II)证明:∵
∴
∴2[(b1+b2+…+bn)-n]=nbn,①
2[(b1+b2+…+bn+bn+1)-(n+1)]=(n+1)bn+1.②
②-①,得2(bn+1-1)=(n+1)bn+1-nbn,
即(n-1)bn+1-nbn+2=0,nbn+2-(n+1)bn+1+2=0.
③-④,得nbn+2-2nbn+1+nbn=0,
即bn+2-2bn+1+bn=0,
∴bn+2-bn+1=bn+1-bn(n∈N*),
∴{bn}是等差数列.
(III)证明:∵
∴
∵
∴
∴
点评:本小题主要考查数列、不等式等基本知识,考查化归的数学思想方法,考查综合解题能力.
练习册系列答案
相关题目