题目内容
已知函数(1)若
(2)在△ABC中,若A<B,f(A)=f(B)=
【答案】分析:(1)利用二倍角公式、两角和的正弦函数化简函数为一个角的一个三角函数的形式,根据x的范围,确定
,然后求出函数的最大值.
(2)利用A<B,f(A)=f(B)=
,求出A,B的大小,然后求出C的值,利用正弦定理求出
的值.
解答:解:(1)f(x)=
+
=
=sin(2x-
)
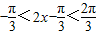
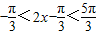
∵
∴
.
∴当
时,即x=
时,f(x)的最大值为1.
(2)由f(x)=sin(2x-
),
若x是三角形的内角,则0<x<π,
∴
.
令f(x)=
,得sin(2x-
)=
,
∴2x-
=
或2x-
=
,
解得x=
或x=
.
由已知,A,B是△ABC的内角,A<B且f(A)=f(B)=
,
∴A=
,B=
,
∴C=π-A-B=
.
又由正弦定理,得
.
点评:本题是中档题,考查三角函数的化简求值,函数在闭区间上的最值的求法,正弦定理的应用,考查计算能力.
(2)利用A<B,f(A)=f(B)=
解答:解:(1)f(x)=
=
=sin(2x-
∵
∴当
(2)由f(x)=sin(2x-
若x是三角形的内角,则0<x<π,
∴
令f(x)=
∴2x-
解得x=
由已知,A,B是△ABC的内角,A<B且f(A)=f(B)=
∴A=
∴C=π-A-B=
又由正弦定理,得
点评:本题是中档题,考查三角函数的化简求值,函数在闭区间上的最值的求法,正弦定理的应用,考查计算能力.
练习册系列答案
相关题目