题目内容
(Ⅰ)当P在圆上运动时,求点M的轨迹C的方程
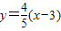
(Ⅱ)求过点(3,0)且斜率
【答案】分析:(I)由题意P是圆x2+y2=25上的动点,点D是P在x轴上的摄影,M为PD上一点,且|MD|=
|PD|,利用相关点法即可求轨迹;
(II)由题意写出直线方程与曲线C的方程进行联立,利用根与系数的关系得到线段长度.
解答:解:(Ⅰ)设M的坐标为(x,y)P的坐标为(xp,yp)
由已知得:
∵P在圆上,
∴
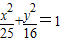
,即C的方程为
.
(II)过点(3,0)且斜率为
的直线方程为:
,
设直线与C的交点为A(x1,y1)B(x2,y2),
将直线方程
即:
,
∴线段AB的长度为|AB|=
=
=
.
点评:此题重点考查了利用相关点法求动点的轨迹方程,还考查了联立直线方程与曲线方程进行整体代入,还有两点间的距离公式.
(II)由题意写出直线方程与曲线C的方程进行联立,利用根与系数的关系得到线段长度.
解答:解:(Ⅰ)设M的坐标为(x,y)P的坐标为(xp,yp)
由已知得:
∵P在圆上,
∴
(II)过点(3,0)且斜率为
设直线与C的交点为A(x1,y1)B(x2,y2),
将直线方程
∴线段AB的长度为|AB|=
=
点评:此题重点考查了利用相关点法求动点的轨迹方程,还考查了联立直线方程与曲线方程进行整体代入,还有两点间的距离公式.
练习册系列答案
相关题目