题目内容
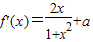
已知函数f(x)=ln(1+x2)+ax.(a≤0)(1)若f(x)在x=0处取得极值,求a的值;
(2)讨论f(x)的单调性;
(3)证明:
【答案】分析:(1)求出f′(x),因为f(x)在x=0时取得极值,所以f'(0)=0,代入求出a即可;
(2)分三种情况:a=0;a≤-1;-1<a<0,令f′(x)>0得到函数的递增区间;令f′(x)<0得到函数的递减区间即可;(3)由(2)知当a=-1时函数为减函数,所以得到ln(1+x2)<x,利用这个结论根据对数的运算法则化简不等式的左边得证即可.
解答:解:(1)∵
,∵x=0使f(x)的一个极值点,则f'(0)=0,
∴a=0,验证知a=0符合条件.
(2)∵
①若a=0时,∴f(x)在(0,+∞)单调递增,在(-∞,0)单调递减;
②若
得,当a≤-1时,f'(x)≤0对x∈R恒成立,
∴f(x)在R上单调递减.
③若-1<a<0时,由f'(x)>0得ax2+2x+a>0
∴
再令f'(x)<0,可得
∴
上单调递增,
在
综上所述,若a≤-1时,f(x)在(-∞,+∞)上单调递减;
若-1<a<0时,
上单调递增
上单调递减;
若a=0时,f(x)在(0,+∞)单调递增,在(-∞,0)单调递减.
(3)由(2)知,当a=-1时,f(x)在(-∞,+∞)单调递减
当x∈(0,+∞)时,由f(x)<f(0)=0
∴ln(1+x2)<x,∴ln[(1+
)(1+
)…(1+
)]=ln(1+
)+ln(1+
)+…+ln(1+
)
<
+
+…+
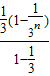
=
=
(1-
)<
,∴(1+
)(1+
)…(1+
)<
=
点评:考查学生利用导数研究函数单调性的能力,以及会用待定系数法求函数解析式,会利用单调性及对数函数运算证明不等式.会求等比数列的前n项的和.以及利用导数研究函数极值的能力.
(2)分三种情况:a=0;a≤-1;-1<a<0,令f′(x)>0得到函数的递增区间;令f′(x)<0得到函数的递减区间即可;(3)由(2)知当a=-1时函数为减函数,所以得到ln(1+x2)<x,利用这个结论根据对数的运算法则化简不等式的左边得证即可.
解答:解:(1)∵
∴a=0,验证知a=0符合条件.
(2)∵
①若a=0时,∴f(x)在(0,+∞)单调递增,在(-∞,0)单调递减;
②若
∴f(x)在R上单调递减.
③若-1<a<0时,由f'(x)>0得ax2+2x+a>0
∴
再令f'(x)<0,可得
∴
在
综上所述,若a≤-1时,f(x)在(-∞,+∞)上单调递减;
若-1<a<0时,
若a=0时,f(x)在(0,+∞)单调递增,在(-∞,0)单调递减.
(3)由(2)知,当a=-1时,f(x)在(-∞,+∞)单调递减
当x∈(0,+∞)时,由f(x)<f(0)=0
∴ln(1+x2)<x,∴ln[(1+
<
点评:考查学生利用导数研究函数单调性的能力,以及会用待定系数法求函数解析式,会利用单调性及对数函数运算证明不等式.会求等比数列的前n项的和.以及利用导数研究函数极值的能力.
练习册系列答案
相关题目