题目内容

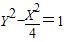
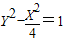
设平面区域D是由双曲线的两条渐近线和椭圆的右准线所围成的三角形(含边界与内部).若点(x,y)∈D,则目标函数z=x+y的最大值为( )
A.1
B.2
C.3
D.6
【答案】分析:求出双曲线的两条渐近线和椭圆的右准线,建立方程组求出所围成的三角形(含边界与内部)三个顶点的坐标,然后把三个顶点的坐标分别代入目标函数z=x+y,得到的最大的结果就是目标函数z=x+y的最大值.
解答:解:双曲线的两条渐近线方程是,椭圆的右准线是x=2,
解方程组得到所围成三解形的三个顶点坐标分别为A(2,1),B(2,-1),C(0,0).
∵zA=2+1=3,z2=2-1=0,zc=0,
∴目标函数z=x+y的最大值为3.故选C.
点评:本题巧妙地把双曲线、椭圆和线性规划融合到一起,比较新颖,体现了出题者的智慧.
练习册系列答案
相关题目

违法和不良信息举报电话:027-86699610 举报邮箱:58377363@163.com

精英家教网