题目内容
若f(x)=x2+bx+c,且f(1)=0 f(3)=0 求:①b与c值;
②用定义证明f(x)在(2,+∞)上为增函数.
【答案】分析:①将f(1),f(3)求出值,代入已知等式,列出方程组,求出b,c值.
②在(2,+∞)上设出任意两自变量,求出它们对应的函数值,作差,将差变形,判断出差的符号,据函数单调性的定义,得证.
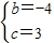
解答:解:(1)
,
解之
(6分)
(2)由①知f(x)=x2-4x+3,任取x1,x2∈(2,+∞),但x1<x2
f(x1)-f(x2)=x12-4x1-x22+4x2=(x1+x2)(x1-x2)-4(x1-x2)
=(x1-x2)[(x1+x2)-4]
∵x1<x2
∴x1-x2<0
∵x1>2x2>2
∴(x1+x2)-4>0
∴f(x1)-f(x2)<0则f(x1)<f(x2)
∴f(x)在(2,+∞)上为增函数(12分)
点评:利用定义证明函数的单调性时,首先要在区间上设出两个自变量,再判断函数值差的符号.关键要变形.
②在(2,+∞)上设出任意两自变量,求出它们对应的函数值,作差,将差变形,判断出差的符号,据函数单调性的定义,得证.
解答:解:(1)
解之
(2)由①知f(x)=x2-4x+3,任取x1,x2∈(2,+∞),但x1<x2
f(x1)-f(x2)=x12-4x1-x22+4x2=(x1+x2)(x1-x2)-4(x1-x2)
=(x1-x2)[(x1+x2)-4]
∵x1<x2
∴x1-x2<0
∵x1>2x2>2
∴(x1+x2)-4>0
∴f(x1)-f(x2)<0则f(x1)<f(x2)
∴f(x)在(2,+∞)上为增函数(12分)
点评:利用定义证明函数的单调性时,首先要在区间上设出两个自变量,再判断函数值差的符号.关键要变形.
练习册系列答案
相关题目
若 f(x)=-x2+2ax 与g(x)=
在区间[1,2]上都是减函数,则a的取值范围是( )
| a |
| x+1 |
| A、(-1,0)∪(0,1) |
| B、(-1,0)∪(0,1] |
| C、(0,1] |
| D、(0,1) |