题目内容
已知函数
。
(Ⅰ)求f(x)的值域;
(Ⅱ)若f(x)(x>0)的图象与直线y=
交点的横坐标由小到大依次是x1,x2,…,xn,求数列{xn}的前2n项的和。
(Ⅰ)求f(x)的值域;
(Ⅱ)若f(x)(x>0)的图象与直线y=
解:(Ⅰ)

,
所以f(x) 的值域为[-1,1]。
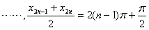
(Ⅱ)由正弦曲线的对称性、周期性可知
,
,
∴
。
所以f(x) 的值域为[-1,1]。
(Ⅱ)由正弦曲线的对称性、周期性可知
∴
练习册系列答案
相关题目