题目内容
函数f(x)=-|x-1|,g(x)=x2-2x,定义A.既有最大值,又有最小值
B.有最大值,无最小值
C.无最大值,有最小值
D.既无最大值,又无最小值
【答案】分析:先求出f(x)=g(x)时,x的值,进而根据定义,可得F(x),由此可得结论.
解答:解:x>1时,f(x)=-|x-1|=1-x,f(x)=g(x)可化为:x2-x-1=0,∴
x≤1时,f(x)=-|x-1|=x-1,f(x)=g(x)可化为:x2-3x+1=0,∴
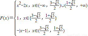
根据定义
,可得
当
时,F(x)=x2-2x,既无最大值,又无最小值
当
时,F(x)=-|x-1|,有最大值0,无最小值,
当
时,F(x)=-1
综上知,函数既无最大值,又无最小值
故选D.
点评:本题以新定义为载体,考查函数的最值,解题的关键是根据新定义,确定函数的解析式.
解答:解:x>1时,f(x)=-|x-1|=1-x,f(x)=g(x)可化为:x2-x-1=0,∴
x≤1时,f(x)=-|x-1|=x-1,f(x)=g(x)可化为:x2-3x+1=0,∴
根据定义
当
当
当
综上知,函数既无最大值,又无最小值
故选D.
点评:本题以新定义为载体,考查函数的最值,解题的关键是根据新定义,确定函数的解析式.
练习册系列答案
相关题目