题目内容
(本小题满分13分)
如图是两个独立的转盘(A)、(B),在两个图中三个扇形区域的圆心角分别为
,用这两个转盘进行游戏,规则是:同时转动两个转盘待指针停下(当两个转盘中任意一个指针恰好落在分界线时,则这次转动无效,重新开始),记转盘(A)指针所对的区域为x,转盘(B)指针所对的区域为y,
,设
的值为![]()
![]()
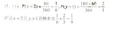
(1)求
的概率;
(2)求随机变量
的发布列与数学期望。
![]()
![]()
解析
练习册系列答案
相关题目
题目内容
(本小题满分13分)
如图是两个独立的转盘(A)、(B),在两个图中三个扇形区域的圆心角分别为
,用这两个转盘进行游戏,规则是:同时转动两个转盘待指针停下(当两个转盘中任意一个指针恰好落在分界线时,则这次转动无效,重新开始),记转盘(A)指针所对的区域为x,转盘(B)指针所对的区域为y,
,设
的值为![]()
![]()
(1)求
的概率;
(2)求随机变量
的发布列与数学期望。
![]()
![]()
解析