题目内容
已知函数f(x)=(1)若函数f(x)在x=2处取得极值,求m的值;
(2)当m=-2时,讨论函数f(x)+x的单调性;
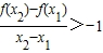
(3)在(2)的条件下,求证,对任意x1,x2∈(0,+∞)且x1≠x2,有
【答案】分析:(1)由x=2是函数的一个极值点,可得到x=2是f′(x)=0的根,从而求出m;
(2)函数f(x)的定义域为(0,+∞),我们可以构造辅助函数g(x)=f(x)+x,判断g′(x)的符号,进而得到f(x)+x的单调区间;
(3)当 m=-2时,对任意的 x1,x2∈(0,+∞),且x1≠x2,要证明
,
即证明f(x1)-f(x2)>x1-x2,即证f(x1)+x1<f(x2)+x2,
故我们可由(2)函数g(x)=f(x)+x的单调性,来证明结论.
解答:解:(1)∵函数 f(x)在x=2处有极值∴f′(2)=2-
+m-1=0
∴m=-2,经检验m=-2符合题意.∴m=-2.
(2)当m=-2时,函数f(x)=
x2+2lnx-3x(x>0).
令函数g(x)=f(x)+x,则
g′(x)=x+
-2=
=
∴g′(x)>0,即g(x)在(0,+∞)上为增函数.
(3)由(2)知g(x)在(0,+∞)为增函数.
∴对任意0<x1<x2,都有g(x1)<g(x2)成立,
即f(x1)+x1<f(x2)+x2.
即f(x1)-f(x2)>x1-x2.
又∵x1-x2<0,
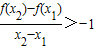
∴
(14分)
点评:本题考查导数的综合应用,函数单调性的求法.解题时要认真审题,仔细解答,注意等价转化思想和分类讨论思想的合理运用.
(2)函数f(x)的定义域为(0,+∞),我们可以构造辅助函数g(x)=f(x)+x,判断g′(x)的符号,进而得到f(x)+x的单调区间;
(3)当 m=-2时,对任意的 x1,x2∈(0,+∞),且x1≠x2,要证明
即证明f(x1)-f(x2)>x1-x2,即证f(x1)+x1<f(x2)+x2,
故我们可由(2)函数g(x)=f(x)+x的单调性,来证明结论.
解答:解:(1)∵函数 f(x)在x=2处有极值∴f′(2)=2-
∴m=-2,经检验m=-2符合题意.∴m=-2.
(2)当m=-2时,函数f(x)=
令函数g(x)=f(x)+x,则
g′(x)=x+
∴g′(x)>0,即g(x)在(0,+∞)上为增函数.
(3)由(2)知g(x)在(0,+∞)为增函数.
∴对任意0<x1<x2,都有g(x1)<g(x2)成立,
即f(x1)+x1<f(x2)+x2.
即f(x1)-f(x2)>x1-x2.
又∵x1-x2<0,
∴
点评:本题考查导数的综合应用,函数单调性的求法.解题时要认真审题,仔细解答,注意等价转化思想和分类讨论思想的合理运用.
练习册系列答案
相关题目
| π |
| 2 |
A、f(x)=2sin(πx+
| ||
B、f(x)=2sin(2πx+
| ||
C、f(x)=2sin(πx+
| ||
D、f(x)=2sin(2πx+
|