题目内容
设函数f(x)=(x-a)2lnx,a∈R,
(Ⅰ)若x=e为y=f(x)的极值点,求实数a;
(Ⅱ)求实数a的取值范围,使得对任意的x∈(0,3e],恒有f(x)≤4e2成立。
注:e为自然对数的底数。
(Ⅰ)若x=e为y=f(x)的极值点,求实数a;
(Ⅱ)求实数a的取值范围,使得对任意的x∈(0,3e],恒有f(x)≤4e2成立。
注:e为自然对数的底数。
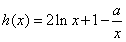
(Ⅰ)解:求导得f′(x)=2(x-a)lnx+
,
因为x=e是f(x)的极值点,
所以f'(e)=
,
解得a=e 或a=3e,经检验,符合题意,
所以a=e或a=3e。
(Ⅱ)解:①当0<x≤1时,对于任意的实数a,恒有
成立;
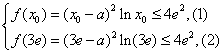
②当1<x≤3e,由题意,首先有
,
解得
;
由(Ⅰ)知
,
,
则
,
且![]()
,
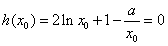
又h(x)在(0,+∞)内单调递增,
所以函数h(x)在(0,+∞)内有唯一零点,记此零点为x0,
则
,
从而,当
时,
;当
时,
;当
时,
,
即f(x)在
内单调递增,在
内单调递减,在
内单调递增;
所以要使f(x)≤4e2对x∈(1,3e]恒成立,
只要
成立,
,知
,(3)
将(3)代入(1)得
,
又
,注意到函数
在[1,+∞)内单调递增,故
;
再由(3)以及函数2xlnx+x在(1,+∞)内单调递增,可得
。
由(2)解得
,
所以
;
综上,a的取值范围为
。
练习册系列答案
相关题目