题目内容
已知椭圆C:A.
B.
C.
D.
【答案】分析:由题意,双曲线x2-y2=1的渐近线方程为y=±x,根据以这四个交点为顶点的四边形的面积为16,可得(2,2)在椭圆C:
+
=1.利用
,即可求得椭圆方程.
解答:解:由题意,双曲线x2-y2=1的渐近线方程为y=±x
∵以这四个交点为顶点的四边形的面积为16,故边长为4,
∴(2,2)在椭圆C:
+
=1(a>b>0)上
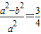
∴
∵
∴
∴a2=4b2
∴a2=20,b2=5
∴椭圆方程为:
+
=1
故选D.
点评:本题考查双曲线的性质,考查椭圆的标准方程与性质,正确运用双曲线的性质是关键.
解答:解:由题意,双曲线x2-y2=1的渐近线方程为y=±x
∵以这四个交点为顶点的四边形的面积为16,故边长为4,
∴(2,2)在椭圆C:
∴
∵
∴
∴a2=4b2
∴a2=20,b2=5
∴椭圆方程为:
故选D.
点评:本题考查双曲线的性质,考查椭圆的标准方程与性质,正确运用双曲线的性质是关键.
练习册系列答案
相关题目