搜索
题目内容
等差数列{a
n
}的各项均为正数,a
1
=3,前n项和为S
n
,{b
n
}为等比数列,b
1
=1,且b
2
S
2
=64,b
3
S
3
=960,
(1)求a
n
与b
n
;
(2)求和:
。
试题答案
相关练习册答案
解:(1)设{a
n
}的公差为d,{b
n
}的公比为q,则d为正整数,
,
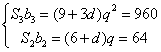
依题意有
,①
解得
(舍去),
故
。
(2)
,
∴
。
练习册系列答案
每课一练浙江少年儿童出版社系列答案
双成卷王系列答案
阳光训练课时作业系列答案
新课程新学习系列答案
中考面对面系列答案
云南师大附小小升初完全试卷系列答案
快乐小博士金卷100分系列答案
晨光智学同步指导训练与检测系列答案
口算训练系列答案
优学三步曲期末冲刺系列答案
相关题目
设等差数列{a
n
}的前n项和为S
n
,当a
1
,d变化时,若8(a
4
+a
6
+a
8
)+(a
10
+a
12
+a
14
+a
16
)是一个定值,那么下列各数中也为定值的是( )
A、S
7
B、S
8
C、S
13
D、S
15
(2006•咸安区模拟)等差数列{a
n
}的公差为d,前n项的和为S
n
,当首项a
1
和d变化时,a
2
+a
8
+a
11
是一个定值,则下列各数中也为定值的是( )
A.S
7
B.S
8
C.S
13
D.S
15
等差数列{a
n
}的前n项和记为S
n
,若a
2
+a
6
+a
10
为一个确定的常数,则下列各数中可以用这个常数表示的是( )
A.S
10
B.S
11
C.S
12
D.S
13
S
n
是等差数列{a
n
}的前n项和,若a
2
+a
4
+a
15
是一个确定的常数,则在下列各数中也是确定常数的项是
③
③
(填上你认为正确的值的序号)
①S
7
②S
8
③S
13
④S
16
.
等差数列{a
n
}的前n项和为S
n
,若a
3
+a
9
+a
21
的值为常数,则下列各数中也是常数的是( )
A.S
21
B.S
22
C.S
23
D.S
24
关 闭
试题分类
高中
数学
英语
物理
化学
生物
地理
初中
数学
英语
物理
化学
生物
地理
小学
数学
英语
其他
阅读理解答案
已回答习题
未回答习题
题目汇总
试卷汇总
练习册解析答案