题目内容
等比数列{an}的前n项和为sn,已知S1,S3,S2成等差数列,(1)求{an}的公比q;
(2)求a1-a3=3,求sn.
【答案】分析:(Ⅰ)由题意知a1+(a1+a1q)=2(a1+a1q+a1q2),由此可知2q2+q=0,从而
.
(Ⅱ)由已知可得
,故a1=4,从而
.
解答:解:(Ⅰ)依题意有a1+(a1+a1q)=2(a1+a1q+a1q2)
由于a1≠0,故2q2+q=0
又q≠0,从而
(Ⅱ)由已知可得
故a1=4
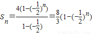
从而
点评:本题考查数列的性质和应用,解题时要认真审题,仔细解答.
(Ⅱ)由已知可得
解答:解:(Ⅰ)依题意有a1+(a1+a1q)=2(a1+a1q+a1q2)
由于a1≠0,故2q2+q=0
又q≠0,从而
(Ⅱ)由已知可得
故a1=4
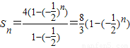
从而
点评:本题考查数列的性质和应用,解题时要认真审题,仔细解答.
练习册系列答案
相关题目