题目内容
设{an}是正数组成的等比数列,a1+a2=1,a3+a4=4,则a4+a5= .
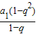
【答案】分析:设公比为q,由题意可得q≠1,
=1,
4,求出首项和公比,即可求出a4+a5的值.
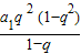
解答:解:设公比为q,由题意可得q≠1,
=1,
4.
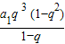
解得 q2=4,再由{an}是正数组成的等比数列,可得 q=2,∴a1=
.
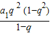
∴a4+a5=
=8,
故答案为 8.
点评:本题主要考查等比数列的定义和性质,等比数列的通项公式,等比数列的前n项和公式的应用,属于中档题.
解答:解:设公比为q,由题意可得q≠1,
解得 q2=4,再由{an}是正数组成的等比数列,可得 q=2,∴a1=
∴a4+a5=
故答案为 8.
点评:本题主要考查等比数列的定义和性质,等比数列的通项公式,等比数列的前n项和公式的应用,属于中档题.
练习册系列答案
相关题目