题目内容
由曲线y=x2+2x与直线y=x所围成的封闭图形的面积为( )A.
B.
C.
D.
【答案】分析:先联立方程,组成方程组,求得交点坐标,可得被积区间,再用定积分表示出曲线y=x2+2x与直线y=x所围成的封闭图形的面积,即可求得结论.
解答:
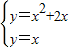
解:由
,
可得
或
∴曲线y=x2+2x与直线y=x所围成的封闭图形的面积为∫
(x-2x-x2)dx=(-
x2-
x3)
=
故选A.
点评:本题考查利用定积分求面积,解题的关键是确定被积区间及被积函数.
解答:
可得
∴曲线y=x2+2x与直线y=x所围成的封闭图形的面积为∫
故选A.
点评:本题考查利用定积分求面积,解题的关键是确定被积区间及被积函数.
练习册系列答案
相关题目