题目内容
已知各项都不相等的等差数列{an}的前六项和为60,且a6为a1和a21的等比中项.(1)求数列{an}的通项公式
(2)若数列{bn}满足bn+1-bn=an(n∈N*),且b1=3,求数列
【答案】分析:(I)设等差数列{an}的公差为d,由题意建立方程组,求得d和a1,进而根据等差数列的通项公式和求和公式分别求得an及前n项和Sn.
(II)根据(I)中的an和b1,根据bn=(bn-bn-1)+(bn-1-bn-2)+…(b2-b1)+b1,进而求得bn,再利用裂项法求得
.
解答:解:(I)设等差数列{an}的公差为d,
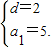
则
解得
∴an=2n+3.

(II)由bn+1-bn=an,∴bn-bn-1=an-1(n≥2,n∈N*).
当n≥2时bn=(bn-bn-1)+(bn-1-bn-2)+…(b2-b1)+b1
=an-1+an-2++a1+b1=(n-1)(n-1+4)+3
=n(n+2)
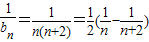
对b1=3也适合∴bn=n(n+2)(n∈N*)
∴
.

=
.
点评:本题主要考查等差数列的性质和用裂项法求和,注意由数列的性质,来确定求和的方法.
(II)根据(I)中的an和b1,根据bn=(bn-bn-1)+(bn-1-bn-2)+…(b2-b1)+b1,进而求得bn,再利用裂项法求得
解答:解:(I)设等差数列{an}的公差为d,
则
解得
∴an=2n+3.
(II)由bn+1-bn=an,∴bn-bn-1=an-1(n≥2,n∈N*).
当n≥2时bn=(bn-bn-1)+(bn-1-bn-2)+…(b2-b1)+b1
=an-1+an-2++a1+b1=(n-1)(n-1+4)+3
=n(n+2)
对b1=3也适合∴bn=n(n+2)(n∈N*)
∴
=
点评:本题主要考查等差数列的性质和用裂项法求和,注意由数列的性质,来确定求和的方法.
练习册系列答案
相关题目